9月8日,环境科学类TOP期刊《Environmental Pollution》以402永利集团官网入口三亚南繁研究院为第一单位,热带耕地养分资源循环利用与质量保育团队李婷玉副研究员为第一作者,发表了题为“Cropland degradation and nutrient overload on Hainan Island: A review and synthesis”《海南岛农田退化与养分过量投入:综述与综合》的综述论文。

论文在整合了课题组及共同作者的数据资料及相关文献后,分析了集约化农业生产及过高的养分投入对农田退化、土壤氮磷含量超出环境安全阈值和水污染等的影响,系统阐明了海南岛由于过量养分投入引起的土壤退化,水环境污染等问题。

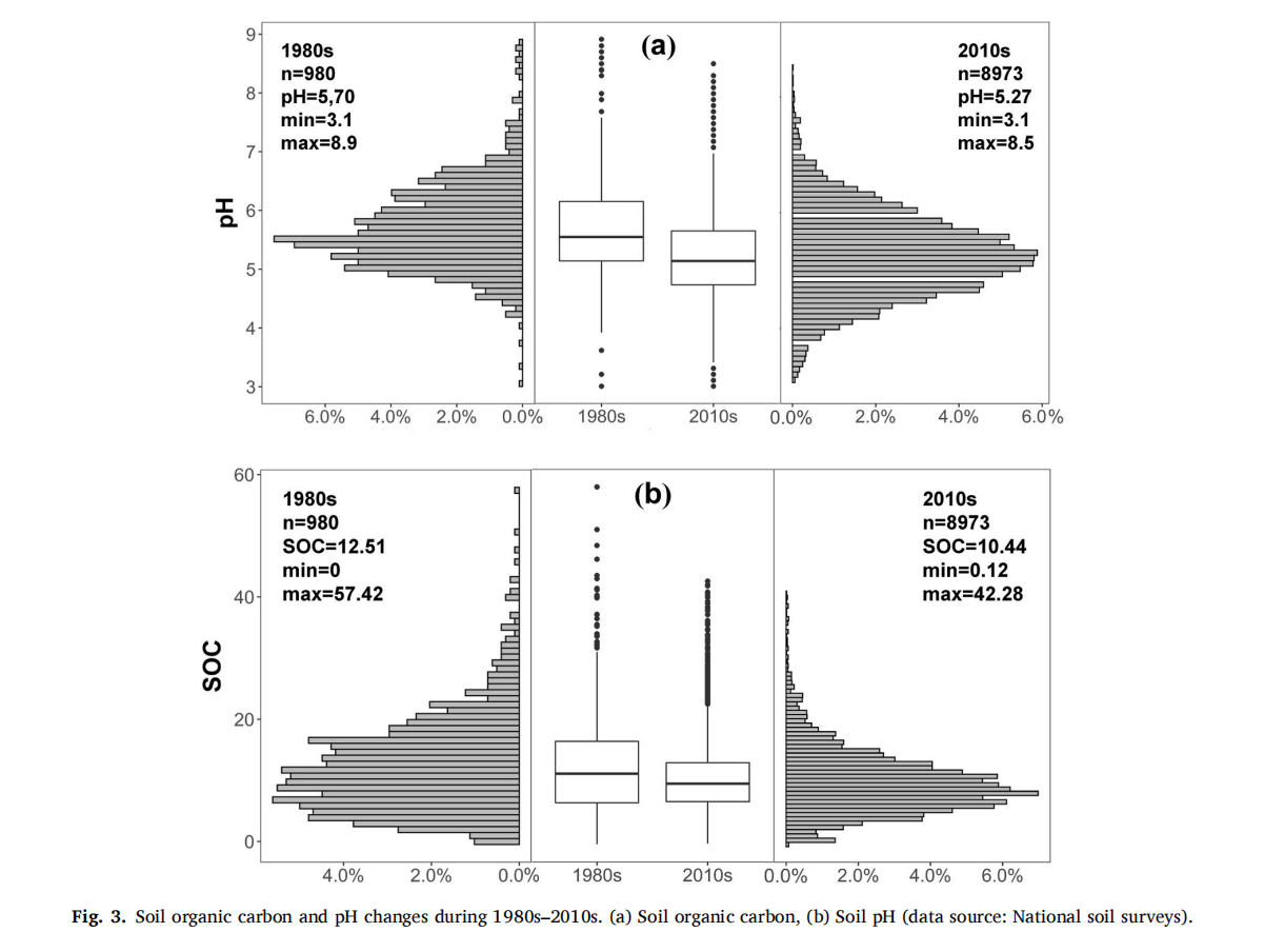
海南近30年来土壤有机质及pH变化图
除此之外,该研究还提出了潜在的改进策略:(1)提高本省有机废弃物的资源利用效率配合生物炭,在增加土壤碳储存量的同时,增加土壤有机质,抑制土壤pH值的下降。(2)作物种植上使用养分定额制,使作物养分收支平衡,减少养分盈余和损失。(3)加强水土保持生态保护区的服务功能。这些战略也适用于面临类似土壤和生态退化挑战的其他热带地区。

海南岛土壤-作物养分综合管理的可持续性挑战
作为海南第一篇系统论述土壤退化、养分失衡及环境问题并提出解决对策的论文,本文揭示了海南岛热带高值农业快速发展导致的土壤退化,进而引发的养分盈余过量、养分损失及环境污染问题,提出了种养耦合、定额施肥、加强生态保护区建设提高有机物料还田、增施生物炭等相应措施。该研究同时对比了全球其它热带地区土壤和养分管理与海南岛的异同,旨在为全球热带土壤退化治理提高参考。
402永利集团官网入口热带作物学院氮素循环与环境效应团队负责人巨晓棠教授为论文通讯作者。合作作者还包括热带耕地养分资源循环利用与质量保育及氮素循环与环境效应团队的骨干教师和研究生,生态环境学院赵洪伟教授;中国热带农业科学院植物保护研究所赵凤亮副研究员、热带作物基因研究所王登峰研究员;中国科学院生态环境科学研究中心宋晓桐博后。